Climate change is more partisan than other environmental issues, but other environmental issues have also become partisan since 1990.[1] The shift in focus from local environmental issues to climate change is part of what made it easier for environmentalism to become partisan, but it is not the only factor.
Environmental concern by partisan identification, averaged over a four point scale. “I’m going to read you a list of environmental problems. As I read each one, please tell me if you personally worry about this problem a great deal, a fair amount, only a little, or not at all.” Reprinted from Guber (2013).
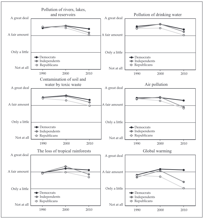
Climate change is more partisan than other environmental issues, but other environmental issues have also become partisan since 1990.[1] The shift in focus from local environmental issues to climate change is part of what made it easier for environmentalism to become partisan, but it is not the only factor.

Environmental concern by partisan identification, averaged over a four point scale. “I’m going to read you a list of environmental problems. As I read each one, please tell me if you personally worry about this problem a great deal, a fair amount, only a little, or not at all.” Reprinted from Guber (2013).
Deborah Lynn Guber. A Cooling Climate for Change? Party Polarization and the Politics of Global Warming. American Behavioral Scientist 57.1. (2013) p. 93–115. https://cssn.org/wp-content/uploads/2020/12/A-Cooling-Climate-for-Change-Party-Polarization-and-the-Politics-of-Global-Warming-Deborah-Guber.pdf.